Home
/ How To Calculate Doubling Time Rule Of 70 : In this article, we will focus on the formula for calculating the doubling time using the rule of 70, which is expressed as the division of 70 by the % of growth rate.
How To Calculate Doubling Time Rule Of 70 : In this article, we will focus on the formula for calculating the doubling time using the rule of 70, which is expressed as the division of 70 by the % of growth rate.
How To Calculate Doubling Time Rule Of 70 : In this article, we will focus on the formula for calculating the doubling time using the rule of 70, which is expressed as the division of 70 by the % of growth rate.. The rule of 69.3 is considered more accurate than the rule of 72, but can be much more troublesome to calculate. The formula is as follows: So if you choose investment in a, your funds will be doubled in 7.27 years but b will double your more in 6.11 years. The rule number (e.g., 72) is divided by the interest percentage per period to obtain the approximate number of periods (usually years) required for doubling. The rule of 70 offers a way to figure out the doubling time of an investment.
Doubling can be quickly calculated using the rule of 72, the rule of 70 or the rule of 63.9. (70/2=35) it works in reverse, too: You'll need to know the specific rate of return in order to use the rule of 70 or doubling time formula. To find the doubling rate, divide the growth rate as a percentage into 70. The answer will be the number of time intervals it takes the quantity to double.
Rule Of 72 Wikipedia from upload.wikimedia.org Comparing the doubling time for rules of 69, 69.3, and 72 to actual years: The rule is commonly used to compare investments with different. Estimating doubling time with the rule of 70. Take the number 70 and divide it by the growth rate. We can find the doubling time for a population undergoing exponential growth by using the rule of 70. Doubling time is one measure of population growth. View rule of 70.2.docx from speech 8956 at miami dade college, north. Doubling time = 70/annual growth rate
Interest rates and the growth of a population are the most common examples used.
The rule is commonly used to compare investments with different. To find the doubling rate, divide the growth rate as a percentage into 70. Growth rate (r) must be entered as a percentage and not a decimal fraction. Comparing the doubling time for rules of 69, 69.3, and 72 to actual years: As of 2017, the annual growth rate for the entire world is 1.053 percent. The formula is as follows: Code to add this calci to your website. Explanation of the rule of 70 the rule of 70 is a way to estimate the time it takes to double a number based on its growth rate. Doubling time = 6.12 years; If the population grows by 1.2% in 2004, divide 70 by 1.2, which equals 58 years. Welcome to the investors trading academy talking glossary of financial terms and events. How to calculate the rule of 70 the rule of 70 is used to estimate the time that it will take for an investment or portfolio to double in size. Doubling time = 70/annual growth rate
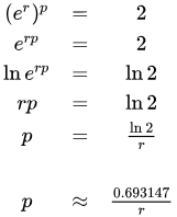
As of 2017, the annual growth rate for the entire world is 1.053 percent. The rule of 70 states that to find the doubling time of a quantity growing at a given annual percentage rate, divide the percentage number into 70 to obtain the approximate number of years required to double. (if you're curious why this rule of 70 works, read the more detailed method below.) Take the number 70 and divide it by the growth rate. Then, divide that growth rate into 70, which is where this rule gets its name.
How To Calculate Doubling Time 9 Steps With Pictures Wikihow from www.wikihow.com In other words, it shows you how many years it will take for your initial deposit to double in size. Code to add this calci to your website. The rule of 70 is used to estimate the time that it will take for an investment or portfolioto double in size. If the growth rate of a population is 4% per year, how long will it take for the population to double? Money doubling time per year calculation. Take the number 70 and divide it by the growth rate. It equals 70 divided by the interest rate. To do this, we divide 70 by the growth rate (r).
To calculate this, you would use the rule of 70.
So the doubling time of the rabbit population is 5 years. To calculate this, you would use the rule of 70. To determine doubling time, we use the rule of 70.it's a simple formula that requires the annual growth rate of the population. Explanation of the rule of 70 the rule of 70 is a way to estimate the time it takes to double a number based on its growth rate. As of 2017, the annual growth rate for the entire world is 1.053 percent. Money doubling time per year calculation. Doubling can be quickly calculated using the rule of 72, the rule of 70 or the rule of 63.9. View rule of 70.2.docx from speech 8956 at miami dade college, north. 70 / % growth = doubling time 70 / doubling time = % growth for example, if you hear that the population of your town is growing by 2% per year, that means it will double in just 35 years! The result is the number of years required to double. The rule of 70 is used to estimate the time that it will take for an investment or portfolioto double in size. The rule is commonly used to compare investments with different. Although doubling time or rule of 70 gives us the estimate of time in which we can double our investment, the major assumption here is the constant growth rate.
To find the doubling rate, divide the growth rate as a percentage into 70. To start, find the annual rate of growth of the investment in question. Doubling time (also known as the rule of 70) is the amount of time that it takes for a quantity of something to duplicate in size. In short, it's really just a simple math equation. How to calculate the rule of 70 the rule of 70 is used to estimate the time that it will take for an investment or portfolio to double in size.
Doubling Time Definition Calculation Video Lesson Transcript Study Com from study.com The rule of 70 is used to estimate the time that it will take for an investment or portfolioto double in size. This means that the population doubles every 5 years and. To determine doubling time, we use the rule of 70.it's a simple formula that requires the annual growth rate of the population. Doubling time = 70 / % of growth rate The rule of 70 offers a way to figure out the doubling time of an investment. What formula is used to calculate doubling time? So if you choose investment in a, your funds will be doubled in 7.27 years but b will double your more in 6.11 years. Doubling time is one measure of population growth.
This means that the population doubles every 5 years and.
The rule of 70 approximates how long it will take for the size of an economy to double. To determine doubling time, we use the rule of 70.it's a simple formula that requires the annual growth rate of the population. Doubling time (using the rule of 70) calculations: To start, find the annual rate of growth of the investment in question. We can find the doubling time for a population undergoing exponential growth by using the rule of 70. To find the doubling rate, divide the growth rate as a percentage into 70. Doubling time (using the rule of 70) calculations: How to calculate the rule of 70 the rule of 70 is used to estimate the time that it will take for an investment or portfolio to double in size. Putting in some real numbers, a calculation would look like this: The rule of 70 is a quick way to calculate doubling time in years. Doubling time = 6.12 years; The rule is commonly used to compare investments with different. (70/2=35) it works in reverse, too:
For example 5% must be entered as 5 instead of 005 how to calculate doubling time. To calculate the doubling time using the rule of 70, we have dt = 70 / 14 = 5.